電話:13570151199
傳真:020-39972520
郵箱:hanyan@hanyancarbon.com
地址:廣東省廣州市番禺區東環街番禺大道北555號天安總部中心30號樓6層
鈣離子和pH對活性炭吸附的影響,活性炭廣泛用于地下水過濾和廢水處理,因為它具有高表面積和多孔結構,可以物理吸附各種污染物,特別是在與揮發性有機化合物(VOC)的相互作用方面。目前活性炭已用作一系列滲透性反應性墻(PRB)中有機污染物的吸附劑,尤其用于處理受氯化有機化合物污染的地下水。為了更好地利用活性炭,研究了不同設計的含活性炭PRB結構并應用于地下水處理。PRB利用地下水流被動將污染物與屏障中的活性炭接觸,從而達到吸附過濾污染物的效果。
地下水中的主要污染物為TCE,本次我們研究的是使用活性炭滲透反應墻來處理地下水。經過我們的一些列研究方法,了解到地下水中的Hp值與鈣離子對活性炭的吸附與再生過程的影響。對以后的廢水處理上有一個數據上的支持。
實驗方法
所有實驗均以分批模式和在環境室溫下的非緩沖溶液中進行。樣品的初始pH用H2 SO4和NaOH調節。所有實驗均在帶有聚四氟乙烯涂覆的塞子和磁力攪拌裝置的2L錐形燒瓶中進行。用具有可調節攪拌速率(150rpm)的磁力攪拌器攪拌反應液。包括對照在內的實驗一式三份。抗壞血酸用于終止自由基反應。.在實驗中選擇吸附三次,因為3次吸附不僅實現了高TCE去除效率,而且足夠的TCE可以吸附在活性炭中。
一、pH對活性炭吸附/再生過程的影響。
為了研究pH對活性炭吸附過程的影響,進行了動力學試驗。吸附實驗在2L TCE溶液(30mg L-1)和1g活性炭中進行,同時將初始pH調節至3,7和9從5mL反應溶液樣品中分析TCE濃度。在含有1mL抗壞血酸(0.1mol L-1)的10mL硼硅酸鹽小瓶中混合10,30,60,120,180,240,360,480,720和1440分鐘。
在活性炭的再生過程中,首先進行吸附過程,同時將溶液pH固定在7,選擇反應時間12小時(根據達到吸附平衡時的動力學試驗結果)。吸附過程進行3次以幫助活性炭飽和(未完全飽和),然后將飽和的活性炭冷凍干燥以幫助再生。基于吸附的TCE量,將溶液的pH分別調節至3,7和9。吸附/再生循環重復3次。在反應過程中分析TCE,HO和氯化物濃度。
二、鈣離子對活性炭吸附/再生過程的影響。
為了研究鈣離子對活性炭吸附過程的影響,在pH為7下進行動力學測試。吸附實驗在2L TCE溶液(30mg L-1)和1g活性炭中進行。將鈣離子濃度調節至0.01,0.05和0.1mol L-1。取5mL反應溶液的等分試樣并在含有1mL抗壞血酸(0.1mol L-1)的10mL硼硅酸鹽小瓶中合并10,30,60,120,180,240,360,480,720。和1440分鐘。分析TCE濃度。
對于活性炭的再生過程,首先進行吸附過程,同時將溶液pH固定在7,并選擇反應時間12小時。吸附過程進行3次以幫助活性炭飽和(未完全飽和),然后將飽和的活性炭冷凍干燥以幫助再生。根據吸附的TCE量,將溶液中的鈣離子濃度調節至0.01,0.05和0.1 mol L-1,吸附/再生循環重復3次。在反應過程中分析TCE,HO和氯化物濃度。
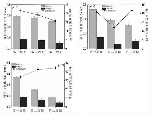
pH對活性炭吸附/再生過程的影響
pH的變化導致活性炭表面電荷的變化并影響吸附性能。如在呈現圖1,吸附/再生循環,不同的pH條件下進行三次。圖1的左Y軸表示在吸附/再生循環期間吸附或氧化的TCE量,圖1的右Y軸表示吸附/再生循環期間TCE的再生效率。在再生期間TCE最終被氧化成氯化物(1mol TCE最終可以產生3mol氯化物),這意味著氯化物可以代表TCE的氧化量。產生的氯化物除以3是氧化的TCE量。在第一次再生循環期間,在3,7和9的不同pH條件下,30.22%,29.29%和33.98%的TCE被礦化成氯化物(圖1)。然而,在第二次和第三次再生循環期間,當pH為3時,活性炭的再生效率降低至26.75%和21.87%。由于pH值為7和9時TCE吸附減少(圖1),當pH為9時,活性炭的再生效率提高到42.52%和44.01%,降至17.04%,然后在pH值為7時提高到30.41%。

圖1、pH對活性炭吸附/再生過程的影響。
鈣離子對活性炭吸附/再生過程的影響
由于其在化合物形式中的溶解度相對較低,地下水中的鈣離子容易沉淀并絡合。人們普遍認為pH和離子強度不會影響不帶電有機化合物在活性炭上的吸附。然而,鈣離子的存在影響溶液上活性炭的吸附能力和鐵的氧化能力。CaSO 4和CaCO 3容易在地下水中沉淀,顯然,可能會影響活性炭的吸附容量。
如圖2所示,進行了兩次吸附/再生循環。在第一次吸附/再生循環期間,當鈣離子存在時,TCE去除明顯減少。顯然,在第二次吸附/再生循環期間,即使進行活性炭的再生,也難以在鈣離子條件下除去TCE。這表明鈣離子不僅在活性炭的吸附能力,而且在其再生過程中都起著重要作用。原因可能是由于鈣離子與其他離子的結合,導致其容易在活性炭表面上沉淀并影響其吸附能力,導致第二循環中TCE去除的減少。

圖2、不同鈣離子濃度下的TCE去除。
總的來說,即使在低濃度下,鈣離子的影響對活性炭吸附能力和再生方面很明顯。根據實驗結果,可以得出結論,活性炭滲透反應墻是一種有價值的地下水處理方法。它需要改進,因為一些環境因素對活性炭吸附效果產生影響,但它具有立即去除有機污染物的優點,隨后是吸附/再生過程的可持續使用。
文章標簽:椰殼活性炭,果殼活性炭,煤質活性炭,木質活性炭,蜂窩活性炭,凈水活性炭.推薦資訊
- 2026-03-11活性炭在油氣回收中的作用
- 2026-03-06活性炭處理垃圾發電廠廢氣
- 2026-02-25活性炭吸附處理啤酒廠廢水
- 2026-02-13活性炭吸附處理含汞廢氣
- 2026-02-04活性炭用于從廢水中吸附去除微量鎘和鉛
- 2026-01-28活性炭潔牙粉專用
- 2026-01-20活性炭在廢氣處理中的一些常識
- 2026-01-13活性炭在精制糖生產中的脫色效果
- 2026-01-07活性炭對咪唑基離子液體的吸附性能
- 2025-12-24活性炭改性增強對乙酰氨基酚的吸附
- 2025-12-15活性炭吸附馬兜鈴酸
- 2025-11-27超細活性炭5000目粉末活性炭
